cAMP/Epac信号通路研究用试剂

  • 产品特性
  • 相关资料
  • Q&A
  • 参考文献

cAMP/Epac信号通路研究用试剂cAMP/Epac信号通路研究用试剂

Biolog总部位于德国,专门从事信号转导研究的工具。已通过 ISO 9001认证,专注于核苷酸化学,特别强调基于环核苷酸的相应蛋白激酶、磷酸二酯酶和离子通道等的调节剂。

 

Epac ,即cAMP直接活化交换蛋白(Exchange protein directly activated by cyclic AMP),是一种新型的 cAMP 受体。

Epac 在许多组织中表达,例如脑、血管、肾脏、肾上腺和胰腺。在大量研究中,Epac 被证实在多种生物功能和过程中发挥作用。近期研究表明 Epac还参与多种神经元功能的调节,但神经系统中依赖于 Epac 的 cAMP 信号的机制尚未完全了解。

Biolog可提供多款cAMP/Epac信号通路研究用试剂。

 


◆特异性 Epac激活剂

产品名称/结构式

产品编号

产品规格

用途

8-Br-2'-O-Me-cAMP

cAMP/Epac信号通路研究用试剂

B 022-05

5 µmol/~2.2 mg

 特异性Epac激活剂

B 022-25

5×5 µmol

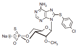
8-pCPT-2'-O-Me-cAMP

cAMP/Epac信号通路研究用试剂

C 041-05

5 µmol/~2.5 mg

 高亲脂性、高膜渗透性的特异性Epac激活剂

C 041-25

5×5 µmol

8-pCPT-2'-O-Me-cAMP-AM

cAMP/Epac信号通路研究用试剂

C 051-01

1 µmol/~0.6 mg

 高膜渗透性特异性Epac激活剂前体

C 051-05

5×1 µmol

Sp-8-pCPT-2'-O-Me-cAMPS

cAMP/Epac信号通路研究用试剂

C 052-01

5 µmol/~2.6 mg

 抗水解性、高亲酯性、高膜渗透性的特异性

 Epac激活剂

Epac阴性对照

产品名称/结构式

产品编号

产品规格

用途

6-Bnz-cAMP

cAMP/Epac信号通路研究用试剂

B 009-10

10 µmol/~4.6 mg

 Epac阴性对照,只激活PKA而不激活Epac

B 009-50,

5×10 µmol

6-Bnz-cAMP-AM

cAMP/Epac信号通路研究用试剂

B 079-01

1 µmol/~0.5 mg

 膜渗透性更佳的Epac阴性对照,

B 079-05

5×1 µmol

Sp-6-Bnz-cAMPS

cAMP/Epac信号通路研究用试剂

B 040-05

5 µmol/~2.4 mg

 抗水解Epac阴性对照

B 040-25

5×5 µmol

8-pCPT-2'-O-Me-cGMP

cAMP/Epac信号通路研究用试剂

C 048-05

5 µmol/~2.6 mg

 基于cGMP结构的Epac阴性对照

C 048-25

5×5 µmol

◆Epac配体

产品名称/结构式

产品编号

产品规格

用途

8-AHA-2'-O-Me-cAMP

cAMP/Epac信号通路研究用试剂

A099-05

5 µmol/~2.3 mg

用于染料或标志物标记的Epac前体

A099-25

5×5 µmol

◆Epac亲和凝胶

产品名称/结构式

产品编号

产品规格

用途

8-AHA-2'-O-Me-cAMP-Agarose

cAMP/Epac信号通路研究用试剂

A057-06

0.6 mL

 封装了Epac激动剂的琼脂糖,适用于cAMP

 相关蛋白的亲和层析。

A057-25

2.5 mL

A057-60

6 mL

荧光Epac激活剂

产品名称/结构式

产品编号

产品规格

特点

8-[DY-547]-AET-2'-O-Me-cAMP

cAMP/Epac信号通路研究用试剂

D089-001

0.1 µmol/~0.1 mg

 荧光Epac激活剂。激发波长= 557 nm,

 发射波长=574 nm。

D089-005

5×0.1 µmol

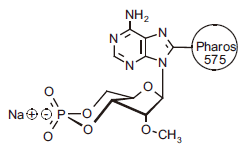
8-[Pharos-575]-2'-O-Me-cAMP

cAMP/Epac信号通路研究用试剂

P021-001 

0.1 µmol/~74 µg

 膜渗透性荧光Epac激活剂,特别适用于完整

 细胞的研究。

 激发波长= 577 nm,发射波长=605 nm。

P022-005

5×0.1 µmol

※ 本页面产品仅供研究用,研究以外不可使用。

产品编号 产品名称 产品规格 产品等级