RatioWorks Cal-520/ zFluor 647 -葡聚糖缀合物* MW 10,000 * 货号20604-AAT Bioquest荧光染料

上海金畔生物科技有限公司代理AAT Bioquest荧光染料全线产品,欢迎访问AAT Bioquest荧光染料官网了解更多信息。

RatioWorks Cal-520/ zFluor 647 -葡聚糖缀合物* MW 10,000 *

RatioWorks Cal-520/ zFluor 647 -葡聚糖缀合物* MW 10,000 *

RatioWorks Cal-520/ zFluor 647 -葡聚糖缀合物* MW 10,000 *    货号20604 货号 20604 存储条件 在零下15度以下保存, 避免光照
规格 1 mg 价格 5940
Ex (nm) Em (nm)
分子量 ~12000 溶剂 Water
产品详细介绍

简要概述

产品基本信息

货号:20604

产品名称:RatioWorks Cal-520/ zFluor 647 -葡聚糖缀合物* MW 10,000 *

规格:1mg

储存条件:-15℃避光防潮

保质期:12个月

 

产品物理化学光谱特性

分子量:~12000

溶剂:水

 

产品介绍

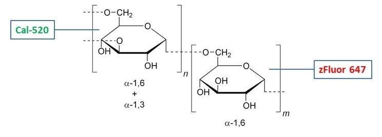
钙测量对于许多生物学研究至关重要。在结合钙后显示光谱响应的荧光探针使研究人员能够通过使用荧光显微镜,流式细胞仪,荧光光谱和荧光酶标仪来研究细胞内游离钙浓度的变化。可以使用patch pipette或显微注射将细胞不渗透葡聚糖的钙指示剂物理加载到细胞上。使用荧光显微镜检测来自这些细胞的荧光信号。与AM酯形式相比,我们的钙指示剂的右旋糖酐形式很少出现在外漏和区室化的问题。在荧光钙指示剂右旋糖酐结合物中,Cal-520右旋糖酐结合物可能是最佳选择,因为它们的高荧光量子产率和钙的大量荧光增强作用。 RatioWorks Cal-520®/ zFluor 647 -右旋糖酐缀合物带有不依赖钙的iFluor 647荧光探针作为放射测量的参考色。 Cal-520荧光团可以被488 nm的氩激光很好地激发,其中iFluor 647的激发极少。参比iFluor 647荧光团可以被633 nm的He-Ne激光或647 nm的红色激光很好地激发,其中Cal-520荧光团具有最小的激发。与Cal-520L葡聚糖(#20603)相比,此Cal-520葡聚糖对钙离子具有更高的亲和力,并且经过优化可监测低水平的钙离子。

说明书
RatioWorks Cal-520/ zFluor 647 -葡聚糖缀合物* MW 10,000 *.pdf